Підсумковий річний тест (1). 8 клас. Тест 3

Питання №1: Графіком якої з функції є гіпербола?


А
Б
В
Г

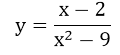
Питання №2: При яких значеннях змінної надана функція не визначена?

2, 9
2, 3
-3, 2, 3
-3, 3

Питання №3: Виконайте віднімання:

A
Б
В
Г

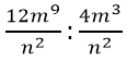
Питання №4: Виконайте ділення:

3m3
3m6
3m6n4
3m12n4

Питання №5:Спростіть вираз: 4a-6b2∙0,3a-2b-5

1,2a-8b-3
1,2a-4 b-3
1,2a8 b3
1,2a-4-73

Питання №6: Порівняйте значення виразів 0,24 і 0,2-4

0,24 < 0,2-4
0,24 = 0,2-4
0,24 > 0,2-4
порівняти неможливо

Питання №7: Чому дорівнюватиме порядок числа 0,048, якщо його записати в стандартному вигляді?

-3
-2
3
2

Питання №8: Знайдіть значення виразу при x=

3
-4
-3
4

Питання №9: Спростіть вираз

А
Б
В
Г

Питання №10: Який з виразів має зміст при всіх значеннях змінної x ?

А
Б
В
Г

Питання №11: Розвяжіть рівняння 7х2 - 26х - 8 = 0

А
Б
В
Г

Питання №12: Сума коренів якого з даних квадратних рівнянь дорівнює 10 ?

х2 + 10х + 30 = 0
х2 + 30х - 10 = 0
х2 - 30х + 10 = 0
х2 - 10х - 30 = 0