Головна
Тести (Інформатика)
8 клас
Опрацювання текстових даних
Тест 8. Форматування об’єктів текстового документа (списки, таблиці, формули)
№ 1 (1б)
Якщо перемістити зазначену на малюнку межу таблиці, то зміниться ширина …
A
всіх стовпців таблиці
B
другого й третього стовпців без зміни ширини всієї таблиці
C
другого стовпця й усієї таблиці
D
третього стовпця й усієї таблиці
№ 2 (1б)
Відновіть послідовність дій для змінення розмірів стовпця або рядка
A
Відпустити кнопку миші
B
Навести вказівник миші на межу стовпця або рядка
C
Перетягнути межу
D
Натиснути ліву кнопку миші
№ 3 (2б)
Як скасувати нумерацію кількох абзаців - елементів списку? (Виберіть усі потрібні дії )
A
Виділити потрібні абзаци (елементи списку)
B
Натиснути клавішу Delete
C
Натиснути клавішу Enter
D
Вимкнути кнопку нумерації на стрічці інструментів
№ 4 (1б)
У вікні "Межі і заливка таблиці" можна налаштувати ...
A
Кольорову заливку абзаців
B
Довжину і вигляд ліній
C
Товщину і вигляд ліній
D
Колір заливки клітинки
№ 5 (1б)
Знайдіть помилковий вислів
A
Другий рівень списку
С
- маркований
B
Списки
А
та
В
- однорівневі
C
Перші рівні списків
В
та
С
- числові
D
Мітки всіх наданих списків розташовані по зростанню
№ 6 (2б)
Під час редагування таблиці можна …
A
змінювати вміст клітинок
B
видаляти одну клітнку
C
додавати або видаляти рядки й стовпці
D
змінювати розмір рядків, стовпців і клітинок
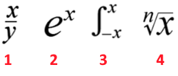
№ 7 (1б)
За допомогою якого інструмента конструктора формул можна створити формулу S=πR
2
?
A
3 - інтеграл
B
2 - індекс
C
4 - радикал
D
1 - дріб
№ 8 (1б)
Який спосіб надає можливість наочно задати кількість рядків і стовпців у таблиці?
A
B
C
D
№ 9 (2б)
Знайдіть правильні вислови
A
Кожний абзац нумерованого списку починається з відступу (або пробілу)
B
На початку кожного абзацу маркованого списку стоїть спеціальний символ - маркер
C
У складного списку завжди є маркери та числа
D
Список може нумеруватись числами та буквами
Прийняти та перевірити